发布时间
/
浏览次数
194

我院在低膨胀系数氧化物功能陶瓷材料方面取得新的研究进展

近日,我院王俊平博士在低膨胀系数氧化物功能陶瓷材料方面取得新的研究进展,相关成果以Low thermal expansion, phase transition and luminescence properties of ZrxAl2-xMo3-xVxO12 ”为题发表在学术期刊International Ceramics上。据悉,International Ceramics 影响因子IF=3.83

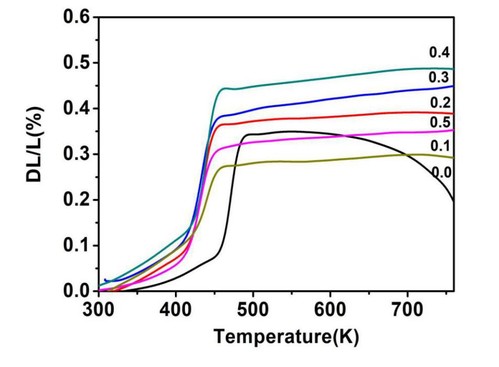
Al2Mo3O12在室温下具有单斜结构,在473-523K左右的温度范围内发生了从单斜到正交结构的相变。在523-1073 K的温度范围内,Al2Mo3O12对应的CTE-2.83×10-6 K-1。如果相变温度降到Al2Mo3O12工作温度范围内,这种相变行为可能会对Al2Mo3O12的应用产生一些不利影响,因为相变会导致Al2Mo3O12制作的器件尺寸发生变化。为了扩大Al2Mo3O12的响应温度范围,获得可控的热膨胀系数材料,需要对AlMo原子进行部分替代,并根据需要提高掺杂离子的浓度。

ZrxAl2-xMo3-xVxO12 (x=0.0, 0.1, 0.2, 0.3, 0.4,0.5)的膨胀系数曲线可以看出随着离子掺杂浓度的增大材料在宽温区内均表现出优异的低膨胀特性(图1),热膨胀曲线是平滑的线性,没有发生突变现象,说明通过离子掺杂改善了材料的吸水性。

ZrxAl2-xMo3-xVxO12具有非常强的宽谱带发光特性,有一个较宽的绿光发射带(图2),发光范围覆盖了从370 nm 650 nm的可见光区域,在不同掺杂量下的色坐标可以看出材料发出的是淡绿色的光,随着离子掺杂量的增加色坐标变化不大,PL谱发光强度变得越来越强。

烧结合成的新型功能陶瓷材料ZrxAl2-xMo3-xVxO12在较宽的温度范围内具有良好的低膨胀性能。Zr4+V5+离子的掺杂使材料具有优异的发光性能,不仅存在着施主态和受主态之间电子跃迁引起的发光,还有施主受主对或者是束缚激子的复合发光。材料在LED和其他光电子器件中具有潜在的应用前景。同时,这种共掺杂效应赋予了该化合物独特的电子性质,为其特殊的光学和电学性质奠定了基础。

文章链接:10.1016/j.ceramint.2020.09.107

1  ZrxAl2-xMo3-xVxO12(0≤x≤0.5)的相对长度随温度的变化情况

2  ZrxAl2-xMo3-xVxO12(0≤x≤0.5)的相对长度随温度的变化情况